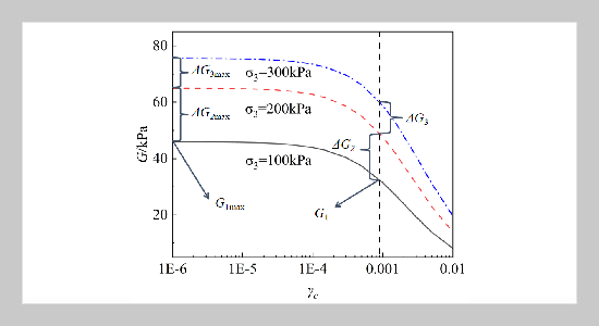
Experimental Study on Dynamic Shear Modulus Characteristics of Unsaturated Silt Soils in the Yellow River Delta
An Improved Global Convolutional Neural Network Algorithm for Civil Aviation GPS Interference Signal Recognition
Intelligent Defect Detection for Aircraft Composite Materials: Integrating Infrared Thermography and YOLO-Based Deep Learning
Research on determining the correlation between the strength of the concrete core and the concrete used as tubular formwork in compressed structural elements
An Automatic Welding Seam Extraction Method for Butt Workpieces with Varying Seam Widths Based on DLP Vision
Auxiliary Model-Based Multiple Innovation Recursive Algorithm on Nonlinear Systems utilizing KeyTerm Separation Technique
Modeling and simulation analysis of capacitive position sensor based on FEM to identify metal objects
Hierarchical least squares parameter estimation algorithm and the convergence analysis on the two-input error system
Aerodynamic and Aeroacoustic Study of Using MultipleElement-Wing Leading-Edge Slat on Plain and Slotted Flap Wing Airfoil NACA 43018
Numerical Simulation of Epidemic Prevention and Ventilation Efficiency in Indoor Spaces with Partitions and an Air curtain
The Effect of Tip Diameter and Electrolyte Properties on Ion 2 Transport and Current Rectification in Asymmetric Nanochannels
Mass Transfer Enhancement in Double-pass Concentric-tube Mass Exchangers under Sinusoidal Wall Fluxes with External Recycle