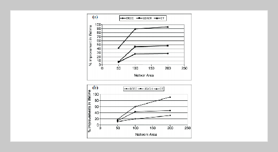
Distributed Cluster Head Election (DCHE) Scheme for Improving Lifetime of Heterogeneous Sensor Networks
UWB Communication Characteristics for Different Distribution of People and Various Materials of Walls
Image and Conductivity Reconstruction of a Two-Dimensional Periodic Imperfect Conductor by the Genetic Algorithm
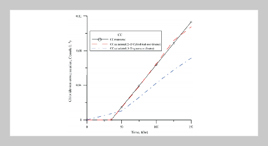
The Nernst-Planck Equation in Cylindrical Space and Time Coordinates for the Chloride-Ion Transport Phenomenon in Concrete Materials Using Theoretical Study
Steady MHD Natural Convection Flow with Variable Electrical Conductivity and Heat Generation along an Isothermal Vertical Plate