Free Convection Heat Transfer from a Non-Isothermal Permeable Cone with Suction and Temperature-Dependent Viscosity
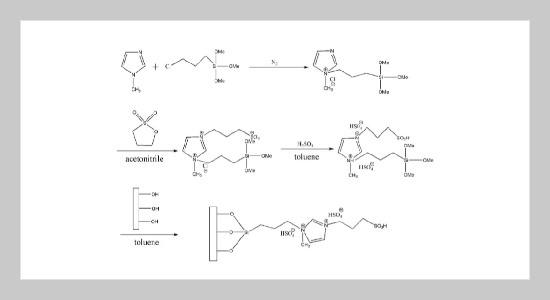
Synthesis of Immobilized Acidic Ionic Liquid and Its Different Adsorption Performance for Cr6+ and Cr3+ Ions
An Approach for Detecting a Flooding Attack Based on Entropy Measurement of Multiple E-Mail Protocols
AustimSpace: A Visualized Scenario Learning Aid on Tablet PC for Chinese Children with High-Functioning Autism