Experimental Study on Electromechanical Performances of Two Kinds of the Integral Arrayed Cymbal Harvesters
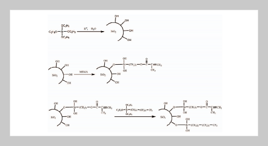
Preparation of Highly Transparent 13F-Modified Nano-Silica/Polymer Hydrophobic Hard Coatings on Plastic Substrates