A novel Prediction Method based on Improved Deep Mixture Density Network for Electricity Consumption, Photovoltaic Generation, and Net Demand of Smart Homes: Case Study for Sydney Metropolitan Area
Establishment and application of diversified piano teaching system in colleges and universities from the perspective of artificial intelligence
A Deep Learning Model Based On Multi-granularity Facial Features And LSTM Network For Driver Drowsiness Detection
The Simulation Analysis of the Capacity Loss of the High Power LiFePO4-graphite Li-ion Batteries under Different Charging Strategies
Life Cycle Assessment of Processing Crab Shells into Chitosan, Liquid Organic Fertilizer, and Animal Feed – A Case Study in Karawang Regency, Indonesia
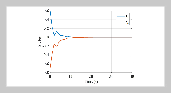
Fault Tolerant Control of Lipschitz Nonlinear Switched Delay Systems: A Model Predictive Control Scheme